
|
Nome:
|
Bipotenciostato EIS
|
Interface:
|
Ethernet
|
|
Faixa de controle potencial:
|
Canal primário: ±10V
|
Segundo Canal:
|
±10V
|
|
Faixa de controle de corrente:
|
±1A em cada canal
|
Precisão de controle potencial:
|
0,1%×faixa total±1mV
|
|
Precisão do controle de corrente:
|
0,1%×intervalo total
|
Resolução potencial:
|
10μV (>100Hz), 3μV (<10Hz)
|
|
Tempo de subida:
|
<1μS (<10mA), <10μS (<2A)
|
Sensibilidade atual:
|
1pA
|
|
Impedância de entrada do eletrodo de referência:
|
1012Ω||20pF
|
O bipotenciostato EIS CS2350M para teste de permeação de hidrogênio possui dois conjuntos de potenciostato/galvanostato independentes integrados. Os dois canais podem realizar experimentos conjuntos de RRDE e teste de permeação de hidrogênio . O módulo flutuante completo e o design de isolamento elétrico garantem que cada canal seja totalmente independente, o que garante dados precisos. O bipotenciostato EIS CS2350M para teste de permeação de hidrogênio
É o verdadeiro potenciostato de canal duplo. Os experimentos também podem ser conduzidos simultaneamente em cada canal (veja a imagem abaixo: os 2 canais se conectam a 2 células tipo moeda). Utiliza conexão Ethernet. O módulo EIS está incluído em ambos os canais. Cada conjunto fornece técnicas eletroquímicas completas, incluindo EIS.

Aplicações do bipotenciostato EIS CS2350M
O bipotenciostato EIS CS2350M pode fazer tudo o que um potenciostato de canal único pode, pois há dois conjuntos de potenciostato/galvanostato dentro do CS2350M. O bipotenciostato EIS CS2350M pode ser usado nas seguintes aplicações e pode realizar testes em duas amostras simultaneamente.
(1) Eletrossíntese, eletrodeposição (galvanoplastia), oxidação anódica, eletrólise
(2) Eletrocatálise, como reação de redução de oxigênio (ORR), OER, HER, redução de CO2.
(3) Bateria de íon-lítio, célula solar, célula de combustível, supercapacitor, materiais de função avançada, sensor, etc.
(4) Comportamento de corrosão de metais e avaliação anticorrosiva
(5) Avaliação rápida da eficiência do inibidor, estabilizador da qualidade da água, revestimento e proteção catódica.
Uma das aplicações típicas do bipotenciostato EIS CS2350M
Teste de permeação de hidrogênio (HDT)

Foto da configuração do teste de permeação de hidrogênio do bipotenciostato EIS CS2350M
O bipotenciostato CS2350M é combinado com células H. Ao medir a corrente de carga de hidrogênio do cátodo e a oxidação do ânodo dos átomos de hidrogênio, ele pode calcular ainda mais o coeficiente de difusão dos átomos de hidrogênio no metal e o fluxo de hidrogênio.


O método eletroquímico proposto por Devanathan-Stachurski para medir a taxa de difusão de hidrogênio atômico em metais.

Diagrama do teste de permeação de hidrogênio do bipotenciostato EIS CS2350M
O dispositivo é composto por duas células eletrolíticas. A célula da esquerda é a câmara de eliminação de hidrogênio (câmara anódica). Um potencial constante é aplicado na superfície anódica da amostra. Os átomos de hidrogênio difundidos da superfície catódica são oxidados na superfície anódica. A célula da direita é a câmara de carga de hidrogênio (câmara catódica). Durante a carga de hidrogênio, a corrente catódica é aplicada na superfície catódica.
Especificações do teste de permeação de hidrogênio EIS bipotenciostato CS2350M
| Especificações | |
| Suporta sistema de 2, 3 ou 4 eletrodos | Interface: Ethernet |
| Faixa de controle potencial: Canal primário: ±10 V segundo canal: ±10 V | Faixa de controle de corrente: ±1A em cada canal |
| Precisão de controle potencial: 0,1% × faixa completa ± 1 mV | Precisão de controle de corrente: 0,1% × faixa completa |
| Resolução potencial: 10μV (>100Hz), 3μV (<10Hz) | Sensibilidade de corrente: 1pA |
| Tempo de subida: <1μS (<10mA), <10μS (<2A) | Impedância de entrada do eletrodo de referência: 1012Ω||20pF |
| Faixa de corrente: 2nA~2A, 10 faixas | Tensão de conformidade: ±21V |
| Saída de corrente máxima: ±1A em cada canal | Taxa de varredura CV e LSV: 0,001 mV ~ 10.000 V/s |
| Largura de pulso CA e CC: 0,0001~65.000s | Incremento de corrente durante a varredura: 1mA@1A/ms |
| Incremento potencial durante a varredura: 0,076 mV a 1 V/ms | Frequência SWV: 0,001~100 kHz |
| Largura de pulso DPV e NPV: 0,0001~1000s | Aquisição de dados AD: 16 bits a 1 MHz, 20 bits a 1 kHz |
| Resolução DA: 16 bits, tempo de configuração: 1μs | Incremento potencial mínimo em CV: 0,075mV |
| Frequência IMP: 10μHz~1MHz | Filtros passa-baixa: cobrindo 8 décadas |
| Potencial e alcance atual: Automático | Peso / Medidas: 6,5 kg, 36 x 30 x 16 cm |
| Sistema operacional: Windows 7/8/10/11 | |
| Espectroscopia de Impedância Eletroquímica (EIS) | |
| Gerador de sinal | |
| Faixa de frequência: 10μHz~1MHz | Amplitude CA: 1mV~2500mV |
| Polarização CC: -10~+10V | Impedância de saída: 50Ω |
| Forma de onda: onda senoidal, onda triangular e onda quadrada | Distorção de onda: <1% |
| Modo de varredura: logarítmico/linear, aumentar/diminuir | |
| Analisador de sinais | |
| Tempo integral: mínimo: 10 ms ou o tempo mais longo de um ciclo | Máximo: 10 6 ciclos ou 10 5 s |
| Atraso de medição: 0~10 5 s | |
| Compensação de deslocamento CC | |
| Faixa potencial de compensação automática: -10V~+10V | Faixa de compensação atual: -1A~+1A |
| Largura de banda: faixa de frequência de 8 décadas, configuração automática e manual | |
Técnicas - Teste de permeação de hidrogênio com bipotenciostato EIS CS2350M
B ipotenciostato
Polarização estável
Polarização transitória
Método Chrono
Voltametria
Espectroscopia de Impedância Eletroquímica (EIS)
Medições de corrosão
Teste de bateria
Amperométrico
Voltametria de decapagem
Extensões
· Registrador de dados
· Decapagem/Deposição Eletroquímica
· Eletrólise em massa com coulometria (BE)
· Medição Rs
Aplicativo
C ou corrosão: Os potenciostatos Corrtest, incluindo o bipotenciostato EIS CS2350M, possuem todas as técnicas eletroquímicas para medição de corrosão, como OCP, curva de polarização (potenciodinâmica), EIS, polarização cíclica CPP (curva de passivação), reativação eletroquímica potenciocinética (EPR), teste de difusão de hidrogênio, ZRA, ruído eletroquímico, etc. Podem ser usados para estudar o mecanismo de corrosão de metais e a resistência à corrosão, além de avaliar a durabilidade do revestimento e a eficiência da corrente do ânodo de sacrifício. Também podem ser usados para triagem rápida de inibidores de corrosão, fungicidas, etc.


Esquerda: Curvas de polarização de liga de Ti e aço inoxidável em solução de 3% NaCl Direita: EN de aço de baixo carbono em 0,05mol/LCl+0,1mol/LNaHCO3
O bipotenciostato EIS CS2350M utiliza algoritmo de correlação integral e técnica de sobreamostragem de canal duplo, além de possuir forte capacidade antiparasitária. A resistência interna do instrumento é de até 10 13 Ω. É adequado para medições EIS de sistemas de alta impedância (como revestimentos, concreto, etc.).
Teste de envelhecimento por pulverização salina de revestimento de alta impedância
Energia
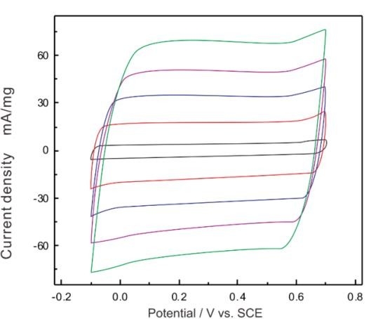
Com técnicas LSV, CV, carga e descarga galvanostática (GCD), potencial/corrente constante EIS e circuito de compensação IR preciso, os potenciostatos Corrtest, incluindo o bipotenciostato EIS CS2350M, são amplamente utilizados em supercapacitores, baterias de íons de lítio, baterias de íons de sódio, células de combustível, baterias Li-S, células solares, baterias de estado sólido, baterias de fluxo, baterias de metal-ar, etc. É uma excelente ferramenta científica para pesquisadores nas áreas de energia e materiais.


Teste de envelhecimento por pulverização salina de revestimento de alta impedância Curva CV de supercapacitor PPy em solução de H2SO4 0,5 mol/L
Eletroanálise
O potenciostato Corrtest, incluindo o bipotenciostato EIS CS2350M, inclui todos os métodos voltamétricos, como NPV, DNPV, SWV e ACV, e pode ser usado para análise rápida de elementos traços na solução. Os métodos de stripping voltamétricos podem realizar análises quantitativas de acordo com a corrente de pico de stripping.

Curvas voltamétricas de decapagem em solução de diferentes concentrações de Pb2+, Cd 2+, Zn2+
Eletrocatálise
● O potenciostato Corrtest, incluindo o bipotenciostato EIS CS2350M, pode medir o potencial de meia onda (ORR), o sobrepotencial (HER, OER) do catalisador e tem a função de calcular a densidade de potência de pico e a densidade de energia.
● Medição cíclica de longo prazo para ORR, OER, HER,
CO2RR por técnicas como voltametria cíclica,
potenciostático, galvanostático. A eficiência de Faraday pode ser
medido com um bipotenciostato.
Curva LSV de catalisadores em solução alcalina

● A corrente máxima pode ser 20A e a tensão de conformidade pode ser 30V, e com técnica de compensação IR,
O potenciostato Corrtest pode medir precisamente o sobrepotencial do eletrodo, o que é uma grande vantagem no campo da eletrocatálise.
